四、阀型避雷器的消弧原理
防雷设备的构造与运行-阀型避雷器,避雷器在雷击放电后,应保证其火花间隙在半周波内将工频续流切断。避雷器的阀片在其zui大容许电压下能限制工频续流在额定值(一般为80安峰值)以下,以保证火花间隙的可靠消弧。火花间隙遮断续流的主要原理,是利用冷阴极附近介质强度的恢复特性。如图3—42所示,短弧的维持是依靠A范围内的自由电子放射和b,范围内的热电子放射来维持的。当电流通过零值时,间隙上的电压也经过零值,此时自由电子放射停止,处于阴极附近A范围内的绝缘强度迅速恢复,B范围内的去游离作用进行得相当慢。由于A范围占整个间隙空间的一个很大部分,间隙愈小,所占比例愈大,因此小间隙的消弧性能更好。图3—43表示单位火花间隙介质强度的增长情况。根据试验,每个短弧间隙都有约700伏的起始绝缘强度,所以一般避雷器均采用多间隙的结构。

避雷器间隙在熄灭额定续流时的熄弧比kr,系工频击穿电压与熄弧电压(也即zui大容许电压)的比值,为了保证间隙的可靠消弧,kr不应小于1.8(实际上FZ型避雷器的kr为2.3~2.4)。避雷器的zui大容许(熄弧)电压,由其安装处导线对地可能发生的zui大稳态电压决定,此电压一般考虑一相接地时其他两健全相的对地电压,它与安装地点的系统常数有关。

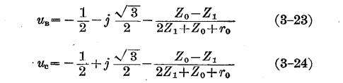
根据对称分量原理,当A相接地时,B、C相的电压标么值(以安装处的运行相电压为基准)分别为

式中Z0≈jx0为由接地点看出的系统零序阻抗;Z0≈jx1≈jx2,为系统正序阻抗;r0为接地点的零序电阻(它等于接地点电阻的3倍),当r0≈0时,uB=uc;如r0>0,则uc>uB。避雷器的zui大容许电压应按uc值来选择。图3—44中画出中性点接地系统中各种不同
及
的情况下,单相接地时无故障相对地电压与相电压的比值曲线。避雷器的特性在很大程度上决定于它的zui大容许电压,由于超高压电网的
比值的降低,有条件采用zui大容许电压被低(如70%zui高运行线电压)的避雷器,以获得更好的保护效果。但是对于远距离的超高压线路来说,往往可能产生较大的过电压,因此有时需采用80%以上的避雷器。为了保证工频续流不大于额定值,对中性点直接接地的系统,避雷器的zui大容许电压一般不应低于zui高运行线电压的75%;对中性点不直接接地系统,不应低于zui高运行接电压的100 %。

当线路电抗与避雷器内电阻的比值愈大时,则续流与电网电压的相角差(郎拔流通过零值瞬简的电压相角)愈大,遮断续流时,电网恢复电压升高速度就愈快,因此消弧就比较困难。根据分析,当
超过0.4时,续流与电压就不能维持,同相关系,消弧就不可靠。ICH系额定zui大续流(即相当于线路电抗为零时的续流);IK3系避雷器安装点的接地短路电流。相角差
与
的关系如图3—45中曲线所示。由于电阻元件的非线性,a值愈小或ICH/IK3值下降,则续流波的尖峰越突出,同时电流趋于零的陡度愈缓慢,因此a值或ICH/IK3,值的下降,都有利于电弧的熄灭。

避雷器火花间隙的并联电阻,可使恢复电压的电场,平均分布在各个火花间隙之间,从而便于消弧。火花间隙绝缘强度的恢复,与通过续流的大小也有关系,续流大则间隙内电离分子较多,绝缘恢复较慢;反之则较快。
近年来为了进一步改善避雷器的冲击特性,以及提高避雷器限制内过电压的能力,各国都在研究如何提高间隙的灭弧能力。新型的间隙结构已经制造出来,例如:磁吹间隙和气吹间隙即是依靠电磁力或压缩空气来进行灭弧的。有关磁吹避雷器的结构和特性将在以后专门进行介绍。
-End-
易造科技是浙江省科技型企业,专注防雷产品的研发、生产、销售,提供浪涌保护器、风电电涌保护器、直流电涌保护器、后备保护器、信号防雷器、⼤⽓电场仪、雷电预警系统、智能防雷系统、防雷器等防雷产品,拥有自动化生产设备和全功能检测实验室,日产30000P防雷模块。产品通过了TUV、CE、CQC等认证,为提供客户"零"维护产品。